RESEARCH
MEDICINAL CHEMISTRY AND DRUG DISCOVERY
THE DRUG DISCOVERY PROCESS
We have an extensive medicinal chemistry and pharmacology program evaluating structure-activity relationships of a number of molecules varying from polycyclic to heterocyclic scaffolds that interact with specific targets we think are involved in CNS diseases. The purpose of these studies is to identify lead molecules that can be further developed into drug candidates and therapeutics. These projects will involve the synthesis of a series a compounds that aid in the identification of structural motifs responsible for optimizing activity. With some examples shown below.
We use techniques such as tissue culture, iPSCs, transfection, cellular assays, immunohistochemistry, radioligand binding, PCR, sequencing and western blots to find new drug targets and therapeutics for these diseases. Some of the proteins and processes we’re developing drugs for include the oxytocin receptor, vasopressin 1a receptor, P2X7 receptor, P2X4 receptor, senescence and neuroinflammation. We are also developing translatable in vitro models for drug discovery, including iPSC-based 3D culture systems.
Please inquire for specific details and other projects.
NEUROINFLAMMATION
Neuroinflammation has a significant role in neurodegenerative diseases such as Alzheimer's disease, multiple sclerosis, Parkinson's disease and amyotrophic lateral sclerosis (ALS). We develop small molecules that work against neuroinflammation as a treatment for these diseases. We also have a significant focus on imaging the neuroinflammatory process by developing compounds for fluorescence and PET imaging.
TRANSLOCATOR PROTEIN (TSPO)
We have developed ligands such as DPA-714, which have been used in imaging of humans. However, these ligands suffer from binding affinity variation within the population due to a genetic variation in TSPO expression. This project will continue work towards synthesising ligands which display high specificity and a “one-size-fits-all” binding affinity regardless of genetic polymorphism.

PURINERGIC RECEPTORS
The P2X7 and P2X4 receptors play an essential role in inflammatory signalling as their activation leads to the formation and release of interleukin-1β, a proinflammatory cytokine which plays a major role in the inflammatory pathways underlying neurodegenerative processes. We are developing ligands that bind to the P2X7 and P2X4 receptors to inhibit their activation.
PROTEIN AGGREGATION
Proteins are involved in countless normal physiological functions in healthy systems. In dementias, specific proteins form neurotoxic aggregates as a result of mislocation and post-translational modifications (often hyperphosphorylation, acetylation and ubiquitination). Each dementia state is associated with the presence of certain protein aggregates, though there is a large overlap in the presence of such aggregates amongst these diseases.

MULTI-TARGET TAU AGGREGATION INHIBITORS
The accumulation of tau-protein containing neurofibrillary tangles (NFTs) leads to a variety of tauopathies, examples of which include Alzheimer's disease, frontotemporal dementias and supranuclear palsy. Normally, tau binds to microtubules and facilitates microtubule assembly and stability. However, when the balance between tau phosphorylation and dephosphorylation is changed in favour of the former, tau is hyperphosphorylated leading to aggregation and negative pathology. To date, research efforts involving the generation of small molecules that target a single point in the tau aggregation cascade have not resulted in the discovery of any disease modifying therapies. However, multi-targeted strategies have shown promise and are being pursued at an increasing rate. Currently we are developing compounds that modulate tau phosphorylation, promote tau clearance and inhibit tau aggregation. The long-term aim is to merge the pharmacophores of various combinations of these targets, to generate multi-target tau aggregation inhibitors. This project will continue work towards the synthesis of ligands to develop structure-activity relationships.

SOCIAL DYSFUNCTION AND DEVELOPMENTAL CONDITIONS
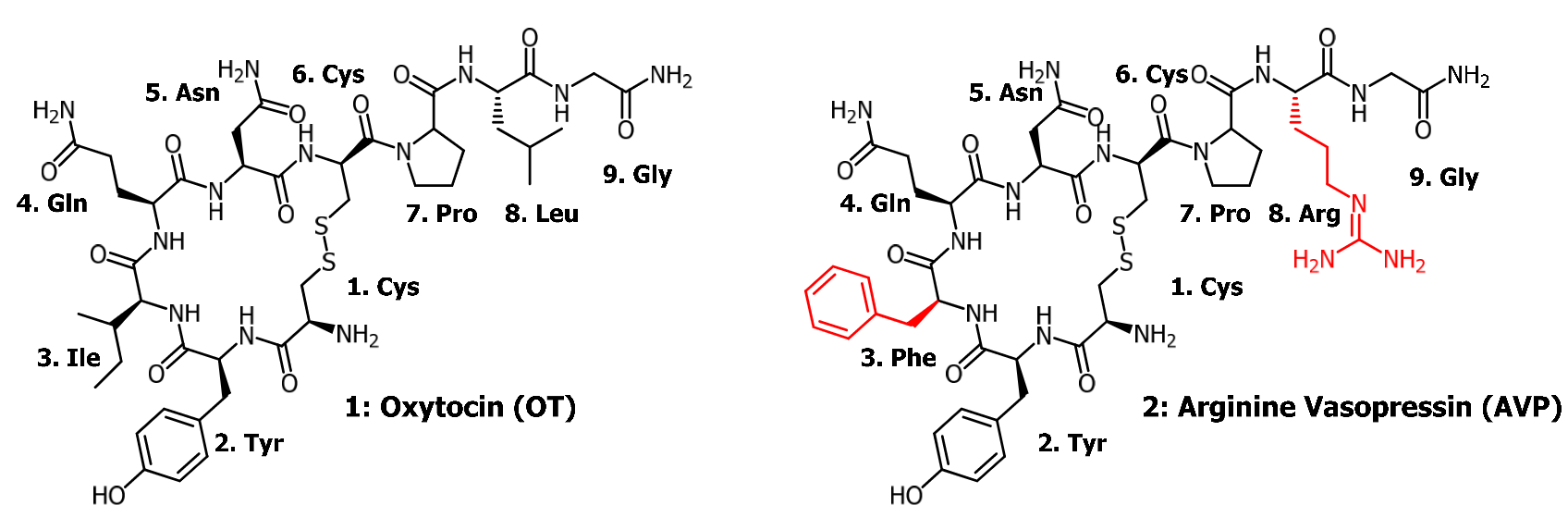
Conditions that commonly overlap with social dysfunction include depression, autism, addiction and social anxiety, among others. These disease states may be considered as either the cause or the symptoms of social dysfunction. To treat social dysfunction across multiple disease states we are designing compounds that induce prosocial effects either through the stimulation oxytocin receptor (OTR) activity or the inhibition of vasopressin 1a receptor (V1aR) activity.
Many reported modulators of these receptors are based on their highly similar cyclic peptide endogenous ligands, oxytocin and vasopressin. However, oligopeptides are generally poor drug candidates and are not brain permeable. As such, we are working towards the design and synthesis of brain permeable non-peptidic small molecules that modulate either the OTR or V1aR selectively.
FRAGMENT-BASED DRUG DISCOVERY
Fragment-based drug discovery (FBDD) methodology allows the identification of low molecular weight ligands that can be elaborated into potent, drug-like molecules. Highly sensitive biophysical methods such as X-ray crystallography, surface plasmon resonance and NMR are used to detect the low-affinity binding events generated by fragment-like molecules. Structural information garnered from fragment hits inform a fragment elaboration phase of increasing complexity until lead-like binding is achieved and traditional SAR may be conducted. Compared to high-throughput screening, even modestly-sized compound libraries can be used to develop leads provided that broad structural and chemical space is represented. Consequently, libraries possessing 1000s of fragment-sized compounds can compete with libraries of 100,000s of drug-like compounds of greater complexity. FBDD may be used to design ligands for traditionally ‘undruggable’ targets such as shallow binding pockets of protein-protein interactions.







